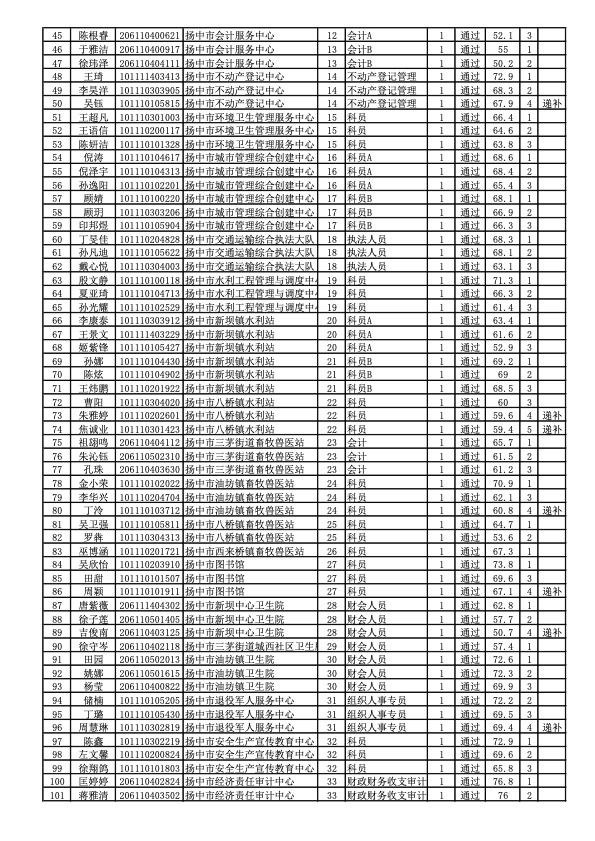
2023年江蘇鎮(zhèn)江揚中市事業(yè)單位招聘資格復審通過名單
相關推薦
點擊排行
線上報名


